Iβm Shanglin (Jason) Wu, a first-year Ph.D. student in Computer Science and Informatics at Emory University, where I am advised by Dr. Kai Shu. I received my Bachelorβs degree in Artificial Intelligence from Yuanpei College, Peking University in 2025.
My research focuses on developing the next generation of autonomous AI agents, with a specific emphasis on two fundamental pillars: enabling lifelong learning and ensuring reliable multi-agent collaboration. I am driven by the challenge of building agentic systems that can adapt continuously to new experiences and collaborate effectively to solve complex, high-stakes problems in real-world environments.
News
- 2026.05: Honored to receive the Excellence in Teaching Assistance Commendation for year 2025β26 from the Department of Computer Science!
- 2026.04: Excited to join Cisco Research as AI/Intelligent Systems PhD Intern for Summer 2026!
- 2026.04: ππ Our paper Improving Factuality in LLMs via Inference-Time Knowledge Graph Construction is accepted by ACL findings 2026! See you in San Diego!
- 2026.02: ππ Our paper Memory in LLM-based Multi-agent Systems: Mechanisms, Challenges, and Collective Intelligence is accepted by PAKDD 2026!
- 2025.07: ππ Completed my internship in Microsft Research Asia Alumni!
Research Experience
- Microsoft Research Asia Alumni, Beijing, China, March 2025 - July 2025
- Data, Knowledge, and Intelligence group
- Research Intern
Publications
![]() | Memory in LLM-based Multi-agent Systems: Mechanisms, Challenges, and Collective Intelligence Shanglin Wu, Kai Shu Proceedings of the 30th Pacific-Asia Conference on Knowledge Discovery and Data Mining (PAKDD 2026) |
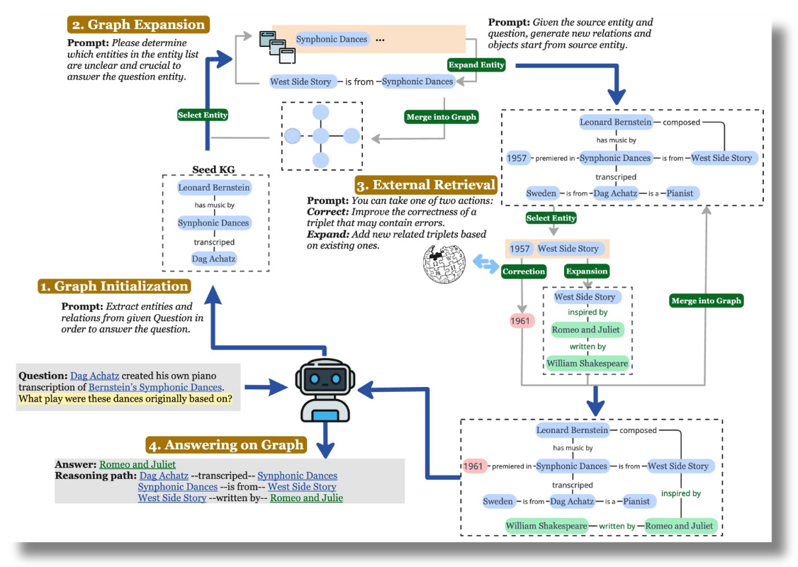
![]() | Improving Factuality in LLMs via Inference-Time Knowledge Graph Construction Shanglin Wu, Lihui Liu, Jinho D. Choi, Kai Shu Proceedings of the 64th Annual Meeting of the Association for Computational Linguistics (ACL 2026) |
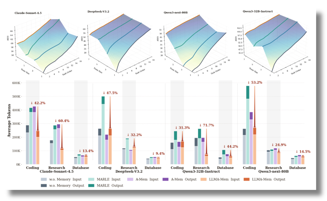
![]() | Scaling Teams or Scaling Time? Memory Enabled Lifelong Learning in LLM Multi-Agent Systems Shanglin Wu, Yuyang Luo, Yueqing Liang, Kaiwen Shi, Yanfang Ye, Ali Payani, Kai Shu |
Education
- 2025 - Now: Ph.D., Computer Science and Informatics. Emory University.
- 2021 - 2025: B.s., Artificial Intelligence. Peking University
Honors & Awards
- Excellence in Teaching Assistance Commendation, Emory University, 2026
- Awarded by the Department of Computer Science for exceptional dependability, proactivity, and initiative.
Academic Service
- Reviewer/Sub-reviewer: ICLR{2026}, TACLResume_v20{2026}, WWW{2026}, ACL ARR{2025}, IEEE CogMI{2025}, IEEE BigData{2026}, SIGIR{2026}, COLM{2026}, Neurips{2026}.



